Authors:
A Bodini1, D Peroni1, L Tenero1*, M Sandri1, M Brunelli1, G Inzalaco1, U Pradal2, M Piazza1, AL Boner1 and GL Piacentini1
1Department of Life and Reproduction Sciences, Pediatrics Section, University of Verona, Italy
2Cystic Fibrosis Regional Centre, Civil Hospital Verona, Italy
Received: 07 July, 2015; Accepted: 22 July, 2015;Published: 27 July, 2015
Laura Tenero, MD, Department of Life and Reproduction Sciences, Pediatrics Section, Policlinico G.B. Rossi, 37134 Verona, Italy, Tel: -39 45 812 6844; Fax: -39 45 820 0993; E-mail:
Bodini A , Peroni D, Tenero L, Sandri M, Brunelli M, et al. (2015) Different Levels of Exhaled Nasal Nitric Oxide in Patients Diagnosed with Primary Dyskinesia. Arch Pulmonol Respir Care 1(1): 014-017.
© 2015 Bodini A, et al. This is an open-access article distributed under the terms of the Creative Commons Attribution License, which permits unrestricted use, distribution, and reproduction in any medium, provided the original author and source are credited.
Nasal nitric oxide; Primary ciliary dyskinesia; Kartagener’s syndrome
Background: Primary ciliary dyskinesia (PCD) is a genetic disease characterized by abnormally beating cilia. In these patients levels of nasal nitric oxide (nNO) are lower than those observed in healthy subjects.
Objectives: We recorded the nNO levels in PCD patients in order to use those nNO measurements in the screening and identification of patients with symptoms suggestive of disease PCD disease.
Methods: We measured nasal NO in 36 PCD patients (3 uncooperative younger children and 33 cooperative adult patients) and did a nNO re-evaluation after 12 months in patients with higher levels of nNO.
Results: Twenty-seven PCD patients showed very low nNO levels (29.1 ppb) and nine cooperative patients had high nNO levels (583.3 ppb, p<0.001) (T0); the PCD patients with high nNO levels were re-evaluated after 12 months (T1).
The median T0 and T1 nNO values of the seven PCD patients were 360 ppb and 324 ppb (p=0.0180), respectively; in 6 patients with high levels of nNO the diagnosis of PCD was confirmed by electron microscopy, and in one subject the diagnosis was confirmed for secondary ciliary dyskinesia.
Conclusions: Low levels of nNO remain indicative of PCD disease; high levels of nNO are supportive of PCD, but cannot be used to exclude diagnosis.
These results suggest that repeated measures are warranted when nNO is occasionally high in patients with symptoms suggestive of PCD disease, and at present electron microscopy is still the only valid evaluation tool in unclear cases of PCD.
Introduction
Primary ciliary dyskinesia (PCD) is an autosomal recessive disorder characterized by a motility defect of the cilia [1] that is commonly associated with recurrent or chronic symptoms of the upper and lower respiratory airways [2,3].
Several studies have found low levels of nasal NO (nNO) in patients with PCD as compared to healthy subjects [4-8] and low nNO has also been reported in children and infants with PCD [9-11]. Therefore, an evaluation of nNO has been proposed as a screening and algorithm follow-up tool in patients for whom PCD is clinically suspected [7]. Normal nNO values are available for adults, school-aged children [5], and recently some data have been obtained also for younger children [6].
The aim of this study was to identify the nNO levels in patients diagnosed with PCD and who have Ultra structural defects confirmed by transmission electron microscopy and ciliary motion analysis.
Patients and Methods
Subjects
A total of 36 patients, adults and children, diagnosed with PCD participated in the study (16 males and 20 females, range 2-42 years, mean 15 years). The PCD cases diagnosed by electron microscopy [2,12] served as positive controls. Three subjects were uncooperative children aged between 2 and 3 years, and thirty-three were school-aged children and adults (cooperative patients) able to perform the nNO test procedures according to guidelines [13]. The subjects were selected among patients who had never used inhaled corticosteroids or nasal decongestant drugs and had not had an adeno- or tonsillectomy.
None of the PCD patients had a sputum positive culture for infection of the airways at the time of nNO evaluation. The nNO measurements were part of routine clinical evaluation. The patients’ characteristics (airway comorbidity, ultrastructural ciliary defects and bronchiectasis severity score) [14] and lung function in cooperative patients were evaluated.
Nasal NO measurements
Exhaled nasal nitric oxide (nNO) levels were measured by inserting a nasal NO-inert olive in one nostril that completely occluded it to avoid ambient air sampling [15,16]. The controlateral nostril was left open. The olive was connected to the analyzer via a Teflon® tube. The nasal air of the three uncooperative children was sampled continuously with a constant trans-nasal aspiration flow of 300 mL.min-1 [12,13] for 30 sec during tidal breathing [8,12,16]. The nNO was measured “online” with a NIOX chemiluminescence analyzer (Aerocrine, Stockolm, Sweden) which was calibrated at least every 14 days using certified calibration gas (NO, 1460 ppb). The nNO signal was sent to a computer data acquisition program (NIOX, nasal mode; Aerocrine) that displayed real-time measurements [13].
Cooperative patients were asked to take a deep breath and hold it for 10 sec while the average nNO concentration was calculated at the plateau between 7-10 sec after breath-hold according to ERS and ATS guidelines [13]. Moreover, cooperative children were asked to perform a non-cooperative test, mimicking the condition of infants; for instance, the nasal sampling was performed continuously for 30 sec during tidal breathing [8,16]. For all subjects the maneuver was performed in triplicate and the trans-nasal air flow was recorded and checked at each measurement for each subject. Measurements of ambient NO concentrations were recorded every day and it was always less than 10 ppb in the days of the study [17].
Lung function measurements
Lung function was measured in the cooperative PDC patients by an electronic spirometer (Jaeger, Master Screen IOS, Germany calibrated before the arrival of each subject with a 3 L syringe (Cardinal Health, Germany 234 GmbH). The forced vital capacity (FVC) maneuvers were carried out with the child standing and wearing a nose clip. The best value of three maneuvers was accepted and expressed as a percentage of the predicted normal values, according to ATS Guidelines [18].
Statistical analysis
Data were expressed as median values and interquartile ranges (25th to 75th quantiles). Differences between T0 and T1 nNo values were tested using the Wilcoxon matched-pairs signed-ranks test. A p value below 0.05 was considered significant.
Results
Study population
Nasal NO measurements were recorded for all 36 PCD patients (from January 2008, to December 2010), young children and adults; no adverse events were observed. Two adult patients were not compliant and did not complete the study. An analysis of nNO data showed normal distribution in our study population.
nNO levels
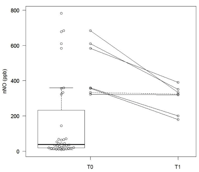
The distribution of nNO values at T0 in the 36 PCD patients is depicted on the left side of Figure 1. The median value was 37.8 ppb and the interquartile range was 17.8 to 233 ppb.
- Pedersen H, Mygind N (1976) Absence of axonemal arms in nasal mucosa cilia in Kartagener's syndrome. Nature 262: 494-495.
- Bush A, Cole P, Hariri M, Mackay I, Phillips G, et al. (1998) Primary ciliary Dyskinesia: diagnosis and standards of care. Eur Respir J 12: 982-988.
- Meeks M, Bush A (2000) Primary ciliary dyskinesia. Pediatr Pulmonol 29: 307-316.
- Karadag B, James AJ, Gultekin E, Wilson NM, Bush A (1999) Nasal and lower airway level of nitric oxide in children with primary ciliary dyskinesia. Eur Respir J 13: 1402-1405.
- Lundberg JO, Weitzberg E, Nordvall SL, Kuylenstierna R, Lundberg JM, et al. (1994) Primarily nasal origin of exhaled nitric oxide and absence in Kartagener's syndrome. Eur Respir J 7: 1501-1504.
- Horváth I, Loukides S, Wodehouse T, Csiszér E, Cole PJ, et al. (2003) Comparison of exhaled and nasal nitric oxide and exhaled carbon monoxide levels in bronchiectasic patients with and without primary ciliary dyskinesia. Thorax 58: 68-72.
- Wodehouse T, Kharitonov SA, Mackay IS, Barnes PJ, Wilson R, et al. (2003) Nasal nitric oxide measurements for the screening of Primary Ciliary Dyskinesia. Eur Respir J 21: 43-47.
- Corbelli R, Bringolf-Isler B, Amacher A, Sasse B, Spycher M, et al. (2004) Nasal nitric oxide measurements to screen children for Primary Ciliary Dyskinesia. Chest 126: 1054-1059.
- Baraldi E, Pasquale MF, Cangiotti AM, Zanconato S, Zacchello F (2004) Nasal nitric oxide is low early in life: case study of two infants with Primary Ciliary Dyskinesia. Eur Respir J 24: 881-883.
- Stehling F, Roll C, Ratjen F, Grasemann H (2006) Nasal nitric oxide to diagnose primary ciliary dyskinesia in newborns. Arch Dis Child Fetal Neonatal Ed 91: F233.
- Bodini A, Rugolotto S, Pradal U, Zanotto G, Peroni D (2008) Nasal nitric oxide for early diagnosis of familial primary ciliary dyskinesia. Archives Disease in Childhood 93: 452-453.
- Rossman CM, Lee RM, Forrest JB, Newhouse MT (1984) Nasal ciliary ultrastructure and function in patient with primary ciliary dyskinesia compared with that in normal subjects and in subjects with various respiratory diseases. Am Rev Respir Dis 129: 161-167.
- American Thoracic Society; European Respiratory Society (2005) ATS/ERS Recommendations for standardized procedures for the online and offline measurement of exhaled lower respiratory nitric oxide and nasal nitric oxide 2005. Am J Respir Crit Care Med 171: 912-930.
- Kennedy MP, Noone PG, Leigh MW, Zariwala MA, Minnix SL, et al. (2007) High-Resolution CT of Patients with Primary Ciliary Dyskinesia. Am J Roentgenol 188: 1232-1238.
- Noone PG1, Leigh MW, Sannuti A, Minnix SL, Carson JL, et al. (2004) Primary ciliary dyskinesia. Diagnostic and phenotypic features. Am J Respir Crit Care Med 169: 459-467.
- Struben VMD, Wieringa MH, Mantingh CJ, Bommelje´ C, Don M, et al. (2005) Nasal NO: normal values in children age 6 through to 17 years. Eur Respir J 26: 453-457.
- Gehring U, Oldenwening M, Brunekreef B, Wieringa MH, Kerkhof M, et al. (2009) The impact of ambient NO on online measurements of exhaled and nasal NO: The PIAMA study. Pediatr Allergy Immunol 20: 665-672.
- American Thoracic Society. 1995. Standardization of spirometry: Am J Respir Crit Care Med 152: 1107-1136
- Armengot M, Milara J, Mata M, Carda C, Cortijo (2010) Cilia motility and structure in primary and secondary ciliary dyskinesia. J Rhinol Allergy 24: 175-180.
- Pifferi M, Caramella D, Cangiotti AM, Ragazzo V, Macchia P et al. (2007) Nasal Nitric Oxide in Atypical Primary Ciliary Dyskinesia. Chest 131: 870-873.
- Greenstone MA, Dewar A, Cole PJ (1983) Ciliary dyskinesia with normal ultrastructure. Thorax 38: 875-876.
- Pifferi M, Cangiotti AM, Ragazzo V, Baldini G, Cinti S, et al. (2001) Primary ciliary dyskinesia: diagnosis in children with inconclusive ultrastructural evaluation. Pediatr Allergy Immunol 12: 274-282.
- Gustafsson LE, Leone AM, Persson M-G, Wiklund NP, Moncada S (1991) Endogenous nitric oxide is present in the exhaled air of rabbits, guinea pigs and humans. Biochem Biophys Res Comm 181: 852-857.
- Bush A, O’Callaghan C (2002) Primary ciliary dyskinesia. A nose for a diagnosis? Arch Dis Child 87: 363–365.
- Piacentini GL, Bodini A, Peroni DG, Sandri M, Brunelli M, et al. (2010) Nasal nitric oxide levels in healthy pre-school children. Pediatr Allergy Immunol 21: 1139-1145.
- Pifferi M, Bush A, Maggi F, Michelucci A, Ricci V, et al. (2011) Nasal nitric oxide and nitric oxide synthase expression in primary ciliary dyskinesia. Eur Respir J 37: 572-577.
- Piacentini GL, Bodini A, Peroni D, Rigotti E, Pigozzi R, et al. (2008) Nasal nitric oxide for early diagnosis of primary ciliary dyskinesia: Practical issues in children. Respir Med 102: 541-547.
- Narang I, Ersu R, Wilson NM (2002) Nitric oxide in chronic airway inflammation in children: diagnostic use and pathophysiological significance. Thorax 57: 586–589.
- Zariwala MA, Knowles MR, Omran H (2007) Genetic defects in ciliary structure and function. Annu Rev Physiol 69: 423-450.
- Strippoli MP, Frischer T, Barbato A, Snijders D, Maurer E, et al. (2012). Management of primary ciliary dyskinesia in European children: recommendations and clinical practice. Eur Respir J 39: 1482-1491.
- Marthin JK, Nielsen KG (2011) Choice of nasal nitric oxide technique as first-line test for primary ciliary dyskinesia. Eur Respir J 37: 559-565.






Figure 1:
Twenty-seven PCD patients showed very low (below 200 ppb) nNO levels (29.1 ppb, 15.0 to 43.0 ppb) and nine (25.0%) cooperative patients under the same conditions had moderately higher nNO levels (583.3 ppb, 356.7 to 678.7 ppb, p<0.001).
Of the 36 PCD patients, 20 were females (55.6%). The median nNO was 20.7 ppb (13.2 to 29.9 ppb) for this group; it was 64.2 ppb (37.8 to 346.7 ppb) for the male group. The difference between the two groups was statistically significant (p=0.0038). The mean age was 17.0 (s.d. = 11.6) and in T0 the Spearman correlation between age and nNO was r = -0.05 (p=0.7827).
Seven of the PCD patients with high nNO levels (5 females, 71.4%) were re-evaluated after 12 months (T1), under the same conditions. Two patients were not compliant and did not complete nNO re-evaluation. The median T0 and T1 nNO values of the seven PCD patients were 360 ppb (333.3 to 610 ppb) and 324 ppb (200.0 to 350.0 ppb), respectively (Figure 1, right side). The nNO values showed a statistically significant reduction (p=0.0180). No statistically significant differences were found in nNO values between males and females. The T0-T1 decrease in nNO was significantly correlated to age (r=0.82, p=0.0234) - the older patients showed higher reductions of nNO values from T0 to T1.
Mucosa brushing and diagnosis by electron microscopy were repeated in the 7 re-evaluated patients. For 6 of these the diagnosis of PCD was confirmed but one (14.3%) subject was diagnosed with secondary ciliary dyskinesia (SCD) [19,20]. In this patient the nNO levels at first evaluation were 333.3 ppb, and 324.0 ppb at the second nNO concentration test.
No correlations were observed between nNO levels, patient characteristics (airway comorbidity like snoring and rhinitis, and bronchiectasis severity score) and lung function. There was no significant correlation between nNO concentrations and different types of ultrastructural ciliary defects.
Discussion
Primary ciliary dyskinesia (PCD) is a rare (1 in 15,000 live births, in Caucasian populations) and under-diagnosed genetic autosomal recessive disease characterized by abnormally beating cilia [1] that results in impaired mucociliary clearance of the respiratory airways [2]. In half of the patients (1 in 30,000 live births) it is associated with situs viscerum inversus (Kartagener’s syndrome) [1].
The diagnosis of PCD is based on the confirmation of typical Ultra structural defects by transmission electron microscopy and abnormal ciliary motion analysis and is identified in ~90% of patients; it also involves the outer dynein arms, inner dynein arms, or both [2,3]. The majority of these patients have an early onset of symptoms [1,2], and neonatal respiratory distress is common [11,12]; but there are patients with PCD that have minimal or absence of transmission electron microscopy found defects (i.e., atypical PCD or SCD), and a wide spectrum of disease variability [1,19-22]. The impaired mucociliary clearance is commonly associated with recurrent or chronic respiratory tract infections leading to sinusitis, serous otitis media, rhinitis, bronchitis and pneumonia.
Gustafsoon [23] first described nitric oxide in human exhaled air, and later Lundberg et al. [5] demonstrated that most of the exhaled air of healthy subjects originates from the upper respiratory tract, with only a minor contribution from the lower airways. The NO is synthesized by epithelial ciliated cells of the nasal cavity and paranasal sinuses where, because of its high concentration of several hundred parts per million [24], it can exert antibacterial and antiviral effects. This could be one of the main mechanisms contributing to ensure sinus sterility in healthy subjects.
It has been suggested that measurements of nNO levels may serve as a diagnostic tool because patients with PCD have very low levels of exhaled nNO compared to healthy people or those with cystic fibrosis, bronchiectasis, or asthma [3-5,7]. Several studies have shown low levels of nNO in children with PCD compared to healthy age-matched subjects [4-8]. Low levels of nNO have also been reported in infants with PCD [9-11] and in atypical PCD patients with persistent abnormal ciliary motility but who lack the classical ultrastructural defects [20].
Recommendations for standardized procedures for measuring nNO have been published [13] and normal nNO value data are available for adults, school-aged children [5] and also now for younger children [6].
A large study by Struben and coworkers [16] few years ago, has provided normal values for nasal NO in children aged 6 through 17 years. Recently our group has been demonstrated that the mean value for in healthy children nNO was 449 ppb and that it was correlated to the age of the subjects aged less than 12 years and depended on ambient nitric oxide levels [25].
Recent reports reinforce the suggestion that low levels of nNO can be used as a screening tool for the early identification of PCD patients [20,26] and that they are indicative of disease also in uncooperative children when they remain persistently low and when other diseases have been excluded [27]. Our present data confirms that nNO levels in PCD patients are very low, which is in agreement with previous studies [2,4,7].
However, in one of their previous studies Wodehouse et al. [7] observed a 100% sensitive and specific nNO in screening of PCD; in contrast, we observed that 25% of our patients with PCD had moderately high exhaled nNO concentrations (>200ppb). We repeated nNO sampling in these patients after 12 months and we observed a significant reduction of nNO levels (p =0.018), however, the single levels of nNO measured are the limits with possible PCD diagnostic screening values (>150<200ppb) [20].
These observations concord with report by Narang et al. [28] that nasal NO levels <250ppb showed a sensitivity of 97% and a specificity of 90% for the diagnosis of PCD. Our data extend the observations in the study by Karadag et al. [4], where they found low levels of nNO in twenty PCD patients and reported one case of PCD with very high nNO exaled levels. The mechanism by which low nNO occurs in PCD is not clear, but low nNO is present regardless of the type of ciliary ultrastructural defect. Because NO up-regulates ciliary beat frequency, low NO in PCD may be related to the lack of motility of the cilia [29].
In the present study, in accordance with previous observations, we found no correlation between nNO levels and Ultra structural ciliary defects [27,29].
In a recent study of ours we confirmed that NO gas is implicated in the modulation of ciliary function in PCD patients [26]. This study could reflect the correlation between NO and ciliary function, which may explain some of the nNO levels and clinical variability of the disease.
The recent task force on PCD of the European Respiratory Society showed that 77% of centers have access to analyze by electron microscopy, 57% to ciliary function tests and only 36% of centers use the nasal nitric oxide test for PCD screening [30]. This task force found substantial heterogeneity in management of PCD within and between countries. This demonstrates how important it is to standardize PCD management besides the urgent need for research to simplify PCD diagnosis.
Our results suggest that in patients with symptoms suggestive of PCD low levels of nNO remain indicative of the disease; therefore high levels of nNO cannot be used to exclude diagnosis [31]. At present electron microscopy is still the only tool to use in unclear cases of disease.
The limitation of this study was the sample size of PCD patients, however the ciliary dyskinesia is rare disease.
In conclusion, further studies are necessary on large cohorts of adult and children patients in order to establish the specificity and sensitivity of nNO levels for application in the PCD diagnosis.